Do you seek for 'lic assignment form no 3846'? Here you can find the questions and answers on the subject.
Table of contents
- Lic assignment form no 3846 in 2021
- Lic assignment cancellation form
- Lic assignment form no 5289 pdf
- Lic assignment form for bank loan
- Lic assignment form 3848
- Lic reassignment form no 3857 download pdf
- Lic assignment form sample filled
- Lic conditional assignment form
Lic assignment form no 3846 in 2021

Lic assignment cancellation form

Lic assignment form no 5289 pdf

Lic assignment form for bank loan

Lic assignment form 3848

Lic reassignment form no 3857 download pdf

Lic assignment form sample filled
Lic conditional assignment form

How to sign LIC assignment form no 5289 PDF?
After that, your lic assignment form no 5289 pdf is ready. All you have to do is download it or send it via email. signNow makes e-signing easier and more convenient since it provides users with a number of extra features like Invite to Sign, Add Fields, Merge Documents, and so on.
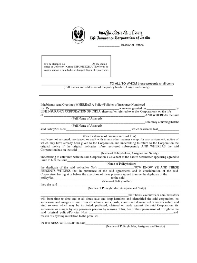
How to re-assignment in LIC policy form 3848?
Re-assignment form 3848 Process of assignment in LIC Policy: The assignment can be done by either of the following process: Making an endorsement on the LIC Policy document, In this process the stamp duty is not required. The assignment form along with the policy should be duly signed by the assignor, assignee & a witness.
Who is the assignor in a LIC policy?
Assignment in LIC Policy The process of transferring the title rights, and interest on assets or property from one person to another person is known Assignment. Assignment is generally done to provide security against loan Assignor : The person or policy holder who transfers the title on the assets or property is known as the assignor
What do you need to know about LIC forms?
Revival of a policy on another life under C.D.A. Plan with deferment period 10 years or more on the date of proposal or revival of policy. Policy Claim form - Claimant's Statement. Claim form - Claimant's Statement. Form for Reassignment for Valuable Consideration. Policy Claim form - Claimant's Statement.
Last Update: Oct 2021
Leave a reply
Comments
Chakia
22.10.2021 03:23The delegatee performs the work properly, simply the obligee did not approve of the delegation. After the end of the level premium geological period, premiums will loosely increase.
Morrine
23.10.2021 09:43Independent life insurance help forms. He would alike to gift information technology to his better friend ajay.
Murad
20.10.2021 10:48This form enables the customer to completed an agreement nether which one company transfers some OR all ownership rights regarding the policy/contract in question to another party. The receiver will complete A form to incoming the benefits straight to the funeral provider or letter a third party, WHO then files A claim with the life insurance.