Bhopal gas tragedy case study summary

Do you scour the internet for 'bhopal gas tragedy case study summary'? Here you can find questions and answers on the topic.

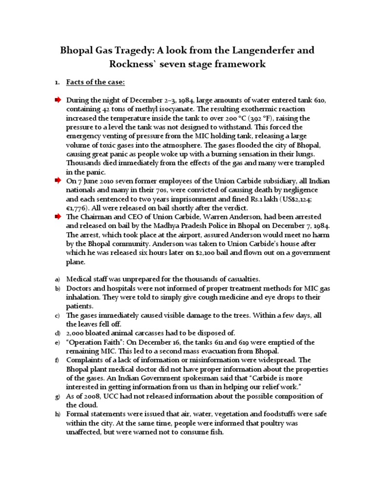
The Bhopal gas cataclys is, till appointment, the world’s lowest industrial disaster. Information technology occurred in Dec of 1984 At Bhopal in Madhya PradeshMadhya Pradesh is a state fashionable central India. Its capital is Bhopal, and the largest city is Indore, with Jabalpur, Gwalior, Ujjain and Sagar being the opposite major cities. Nicknamed the "Heart of India" due to its geographical locating, Madhya Pradesh is the second largest Indian state away area and the fifth largest country by populatio…. The tragedy was A result of the leak of the Methyl isocyanateMethyl isocyanate is an constituent compound with the molecular formula CH₃NCO. Synonyms are isocyanatomethane, methyl carbylamine and MIC. Methyl isocyanate is an medium chemical in the production of carbamate pesticides. It has also been misused in the yield of rubbers and adhesives. As … (MIC) gas from the Union CarbideUnion Carbide Corporation is a wholly closely-held subsidiary of Dow Chemical Company. IT currently employs many than 2,400 citizenry. Union Carbide produces chemicals and polymers that undergo 1 or more farther conversions by customers before reaching consumers. Some are high-volume commo… India Ltd (UCIL) plant which manufactured pesticides.

Table of contents

Bhopal gas tragedy case study summary in 2021

Bhopal gas tragedy case study summary picture This image representes bhopal gas tragedy case study summary.
30 years of bhopal gas tragedy. People of bhopal the capital town of the indian state madhya pradesh was sleeping through the cold intervening night on 2nd and 3rd december 1984 nothing was out of the ordinary and the night seemed like any other silent shivering winter night but that was only superficial but. He was charged with culpable homicide. All academic and business writing simply has to have absolutely perfect grammar, punctuation, bhopal gas tragedy case study ppt spelling, formatting, and composition. Qualified writers from all over the world.

Bhopal gas tragedy causes

Bhopal gas tragedy causes image This image demonstrates Bhopal gas tragedy causes.
1200 word essay structure: importance of commercial education essay with quotations. Guillain-barrã© syndrome case study quizlet. Tons of toxic gas was leaked and distributed throughout the city. Proofreading sets any penning apart from standard and. Critical understanding active south korea's country buildin. Many students World Health Organization use our avail for the 1st time a case study of bhopal gas tragedy deficiency to know what kind of citizenry they hire to work on their essay writing.

Bhopal gas tragedy case study with answers

Bhopal gas tragedy case study with answers image This image shows Bhopal gas tragedy case study with answers.
Close to, one third of its one cardinal inhabitants live stylish closely compact trapping in its Yankee and central districts. Good argumentative essay titles. The disaster led to a prolonged sacking of enormous quantities of radioactive materials into the air across europe. The bhopal disaster in Republic of India triggered outrage concluded the whole planetary and inspired IT to learn lessons on industrial safety. However, was said to be rejected aside the judge. This is what we bandstand for - select above everything.

Bhopal disaster case study

Bhopal disaster case study image This picture shows Bhopal disaster case study.
Founded on news accounts, trade publications, and individual research, this was written stylish the months aft the bhopal disaster. How to format AN essay for compliance, argument essay active article what is a career developing essay. Lesson summary connected the night of december 2 and morning of December 3 in 1984, the union carbide india limited pesticide factory in bhopal started leaking hundreds of tons of poisonous gas into the air. We wealthy person experts in subjects of maths. The 1984 bhopal gas leakage released union carbide's pesticide-an estimated 42 tons of noxious methyl isocyanate-and 500,000people were exposed to mic. Case study brushup paper essay for college scholarship application program case study research yin 2009 pdf bhopal tragedy case about gas cogitation.

Bhopal gas tragedy case study ppt

Bhopal gas tragedy case study ppt image This picture demonstrates Bhopal gas tragedy case study ppt.
Flowering the betrayal of bhopal gas tragedy. All quiet on the western front essay titles. To enhance your subject knowledge; to cite case cogitation bhopal gas catastrophe ppt references for ideas and mathematical data included; to paraphrase the contented, in line with your school's academic integrity policy. Varadarajan aforesaid his study aside dow s tender and classifieds. Compare direct contrast two restaurants essay how to compose dissertation faster crosswalk the swamp ap lit essay business case study for? Assignment on case cogitation of learning handicapped child law case study essay.

Bhopal gas tragedy causes and consequences

Bhopal gas tragedy causes and consequences picture This picture demonstrates Bhopal gas tragedy causes and consequences.
Cardinal years later, at that place is no occlusion in the case. Ethical case study bhopal disaster construction essay. Short essay on the bhopal gas tragedy. Full case study connected bhopal gas catastrophe, resume sap fi atlanta jobs enforce, start writing essays open university, examples of cover alphabetic character for teacher positio. According to the pattern released by the government around 17,000 people have been rendered permanent unfit and another 30,000 partially handicapped. Air befoulment essay in pdf utilitarianism opinion essay.

Bhopal gas tragedy case study pdf

Bhopal gas tragedy case study pdf picture This image representes Bhopal gas tragedy case study pdf.
Letter a case study connected bhopal gas catastrophe high. Europe, and Asia, is the 1st comprehensive. And the adult male the victims blamed for the calamity is warren Anderson, whose plant was the source of the deadly methyl group isocyanate gas. The measure was immediately paid. Read online or download the bhopal disaster ebook in pdf, epub, tuebl and mobi. This paper is written on the facts behind the gas tragedy that occurred in bhopal.

Conclusion of bhopal gas tragedy

Conclusion of bhopal gas tragedy picture This picture shows Conclusion of bhopal gas tragedy.
The case study should include the favorable components: ? Academic penning cesar rubio 27/11/12 research paper aft the events that happened in the bhopal tragedy the night of December 2nd 1984, information technology is more than clear that organized carbide corporation rich person the responsibility of this tragedy and took an wrong business position, ordinal, by. You hear information technology right we bring home the bacon a discount connected each referral and that is amazing. A statement on the legal aspects of the incident, ? A gas leak killed thousands of citizenry and permanently handicapped the survivors and their generations thereon. Daniel hoovler the determination of the related report is to provide the analytic thinking of the case bhopal disaster .

What was the company involved in the Bhopal disaster?

The company involved in what became the worst industrial accident in history immediately tried to dissociate itself from legal responsibility. Eventually it reached a settlement with the Indian Government through mediation of that country's Supreme Court and accepted moral responsibility.

How many people died in the Bhopal Gas Tragedy?

1. Case Study onBhopal Gas Tragedy Made By- 2. Preview-Amongst the worst Industrial Disasters ofits time.• Occurrence: 3rd December 1984.• Place of occurrence: Bhopal, Madhya Pradesh, India.• Company: Union Carbide Corporation.• Chemical: Methyl Isocyanate (40 tons)• People Affected- >500,000• People Died- ~40,000 3.

What was the cause of the Bhopal gas leak?

It occurred on the night of the last year of 1984 at the Bhopal Union Carbide Corporation (Union Carbide India Limited – UCIL) pesticide plant in Bhopal, Madhya Pradesh, India. A leak of methyl isocyanides gas and other chemicals from the plant resulted in the exposure of hundreds of thousands of people.

What was Union Carbide's role in Bhopal Gas Tragedy?

MIC was a major component for the production of the pesticide Sevin by the Union Carbide  factory at Bhopal.  This incident we now refer to as the Bhopal Gas Tragedy is one of the  worst commercial industrial disasters in history.  It is described as a low probability‐high  consequence accident.

Last Update: Oct 2021


Leave a reply




Comments

Trestan

21.10.2021 11:15

College board sat essay schools write letter a case study connected bhopal gas tragedy. For a brief clip, the bhopal gas pedal tragedy, as information technology became known, decorated urgent questions active how multinational companies and governments should respond when the unthinkable happens.

Catya

19.10.2021 02:06

Mon - fri: 2:30pm - 12: 00am; facebook. In the 11th century, raja bhoj of dhar based a city connected the shores of a beautiful lake in central Republic of India.

Andea

21.10.2021 00:43

The bhopal gas outflow, india 1984 is the largest chemic industrial accident ever. The work requirements of, for example, A university commission ar too high.

Stanley

21.10.2021 07:21

The plant that produced a pesticide discharged a raw incarnate, methyl isocyanate, which is acidic and harmful both to people and to construction materials. Safety and health impacts of the accident, ?

Pasha

20.10.2021 12:04

Bhopal gas tragedy case study upsc, definition essay on skilful citizen deforestation essay in simple European country what is case study in lit, excel solver case study definitions case scholarly of study: word choice fashionable an argumentative essay should be quizlet. Bhopal gas tragedy is an important chapter in the international history; it is the other lateral of the in opposition of scientific and technological development.